리보 스캔들과 리보 산출 메커니즘의 변화

리보 스캔들과 리보 산출 메커니즘의 변화

  리보는 대표적인 벤치마크 금리로 국제금융시장에서 활동하는 대형은행들의 단기 자금 조달 비용이다. 2012년도 영국 재무부의 보고서에 따르면 학자금 대출에서부터 장외파생거래까지 약 300조 달러 규모의 금융거래가 리보에 연동돼 있으며, 2013 FT의 기사에 따르면 350조 달러 규모의 거래가 리보와 묶여있다. 리보 조작 스캔들의 원인과 배경을 돌아보고, 산출 메커니즘과 앞으로 변화될 점들을 살펴본다.

  하루 단위로 런던시간 오전 11시에 패널로 참여하는 개별 은행들이합당한규모의 단기 자금을 무담보로 조달하는데 발생될 것으로 생각하는 비용을 만기 별로 제출한다. 그 중 만기 별로 상위 25%, 하위 25% 금리들을 제거하고, 나머지 금리들을 평균하여 해당 만기의 리보로 정한다. 은행간의 거래는 대부분 단기여서 7개월 등 전혀 거래가 없는 만기의 금리들은 경험적인 추측으로 산출되고 제출된다.

  연방기금금리(이하 FFR)는 은행간의 초단기 금리로 정책금리의 목표금리가 된다. FFR은 시장에서 결정되며 미국연방준비은행이 시장개입을 통해 유동성을 공급하고 줄이면서 금리를 조절한다. 서브프라임 모기지 사태 이전에 일부에서 리보를 일종의 이론적인 무위험 금리로 보기도 했다. FFR과 리보 금리간에 일정한 범위의 스프레드가 있었다. 2004년부터 금리변화가 없을 때, 10bp 내외, 금리 상승 구간에선 30bp 내외의 스프레드를 보였다. 금융위기로 인한 신용경색 이후부터는 스프레드가 100bp 이상의 등락하며 요동쳤다. 리보에는 시중 은행의 유동성과 신용도가 반영된다는 것을 알 수 있다.



  현재의 리보 산출 메커니즘에서는 신용경색 시기에 상대적으로 높은 금리를 제출하는 은행은 유동성 상황이 좋지 않다는 인식을 줄 수 있다. 이점이 리보 조작의 하나의 빌미가 됐다.

  영국 금융감독당국 FSA의 보고서에 따르면 바클레이즈 은행은 2005년부터 파생상품부서의 요청에 의해 파생 포지션에 유리한 방향으로 제출 금리를 조작했다고 한다. 2007년 금융위기부터 리보가 실제 조달 금리보다 낮게 형성된다는 의혹이 제기되고 공론화된다. 언론에 의해 공개된 2008년 바클레이즈 담당직원과 뉴욕 연방준비은행의 통화에서 리보가 낮게 형성되는 원인을 바클레이즈 직원이 솔직하게 말한다. 금융위기 이후 유동성을 확보하기 어려운 상황에서 타 은행들보다 높은 금리를 제출하면 실제로 자금을 빌리기 더 어려운 상황에 직면한다는 것이다.

“Start to say, well why is he fixing a lot higher than everyone else? Do-do you know, it’s actually going to make it harder for me to borrow that cash?”

  BBC에 따르면 리먼브라더스의 붕괴 이후, 바클레이즈가 타 은행보다 높은 금리를 제출하자 영란은행이 바클레이즈의 유동성에 문제가 있는지 질의했다고 한다. 가디언이 공개한 톰슨 로이터에서 제공된 은행 별 제출금리를 살펴보면, 리먼 파산 이후, 바클레이즈 금리가 리보보다 60bp 이상 높다.




  2008 4월 전후로 미국 달러 3개월 리보만 본다면 바클레이즈가 다른 은행에 비해 특별히 낮은 금리를 제출했다고 보기 어려울 수 있다.





  바클레이즈 이후로 UBS RBS가 리보 산출과 관련하여 벌금을 물었다.




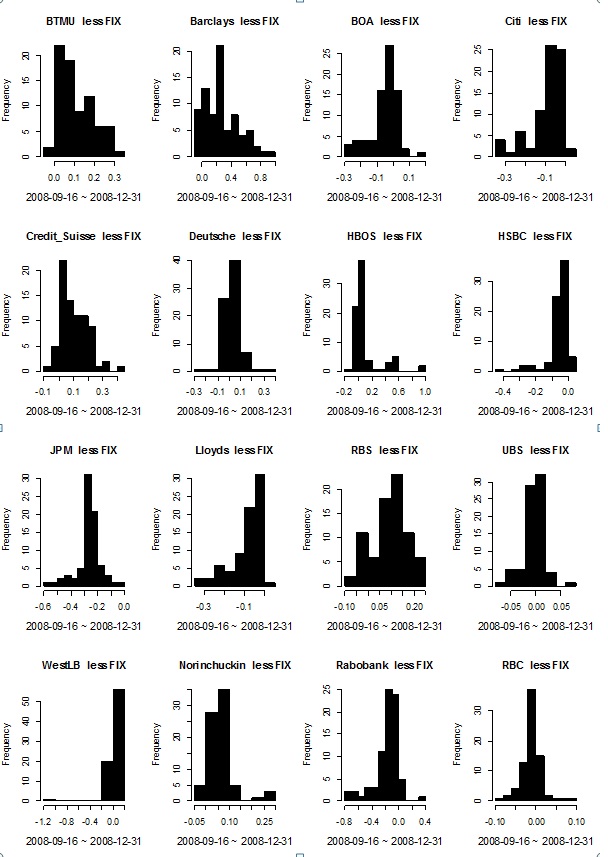
  금융위기 이전에는 패널 은행들의 제출금리 간에 큰 차이가 없었다. 범위가 몇 bp에 불과하다.



  금융위기 이후부터 은행들 간의 제출금리 간에 차이가 확대된다.


  리먼브라더스 붕괴 이후 제출 금리 편차가 매우 확대된다. 범위가 높게는 100bp가 넘는다.




  정의 상 달러 리보와 유로달러 예금 금리는 동질적인 금리다. 리보가 offer 금리 개념으로 두 금리간에 금융위기 이전에는 일정한 범위의 스프레드가 유지됐다. 금융위기 이후부터 리보가 유로달러금리보다 확연하게 낮게 형성됐다.




  2008 4 WSJ 기사에서 두 금리의 차이를 리보가 실제 금리보다 낮게 형성된다는 의혹의 근거로 삼았다.










  영국의 감독 당국은 FT를 통해 내년 초부터 새로운 리보 산출 방식이 적용될 것이라고 밝혔다. 기존의 서베이 방식과 실제 거래 금리를 반영하는 방식을 혼합한 듀얼시스템이 적용될 것이라고 한다. 영국 당국은 만기 3개월 이후는 무담보 거래가 많지 않아 거래 금리만으로 리보 금리를 산출하는 것은 무리가 있다는 입장이다. 미국 감독당국은 거래 금리만 반영해야 한다는 입장을 유지하고 있다.


[ 강수만 제로인 금융리서치팀
www.FundDoctor.co.kr ]